Beranda
/ Sebuah Bola Pejal Memiliki Massa 2 Kg Berputar Dengan Sumbu Putar Tepat Melalui Tengahnya : Kelas 11 Fisika 2 Sri Handayani Pages 101 150 Flip Pdf Download Fliphtml5 - Sebuah roda dengan momen inersia sebesar 2,16 kgm 2 berputar dengan kecepatan 600 putaran/menit.
Sebuah Bola Pejal Memiliki Massa 2 Kg Berputar Dengan Sumbu Putar Tepat Melalui Tengahnya : Kelas 11 Fisika 2 Sri Handayani Pages 101 150 Flip Pdf Download Fliphtml5 - Sebuah roda dengan momen inersia sebesar 2,16 kgm 2 berputar dengan kecepatan 600 putaran/menit.
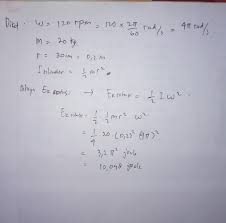
Sebuah Bola Pejal Memiliki Massa 2 Kg Berputar Dengan Sumbu Putar Tepat Melalui Tengahnya : Kelas 11 Fisika 2 Sri Handayani Pages 101 150 Flip Pdf Download Fliphtml5 - Sebuah roda dengan momen inersia sebesar 2,16 kgm 2 berputar dengan kecepatan 600 putaran/menit.. Bola bermassa 100 gram dihubungkan dengan seutas tali yang panjangnya 30 cm seperti pada gambar. Jika tidak terjadi slip maka tentukan energi kinetik total bola tersebut! I = m 1 r 1 2 + m 2 r 2 2. Sebuah bola pejal memiliki massa 2 kg berputar dengan sumbu putar tepat melalui tengahnya. Tentukan energi kinetik yang bekerja!
Momen inersia total dengan poros (b) sumbu y yaitu: Soal dan penyelesaian mencari momen inersia penampang. Roda berbentuk cincin memiliki massa 8 kg dengan momen inersia 0. Sebuah bola pejal memiliki massa 2 kg berputar dengan sumbu putar tepat melalui tengahnya. Piringan gerinda sedang berputar horizontal dengan sumbu vertikal pada titik pusatnya.jika segumpal plastisin.
Xi6 Momentum Sudut Dan Rotasi Benda Tegar from data03.123doks.com Jetzt klicken und in 3 minuten ihre kostenlosen kataloge auswählen. Winkler bola beim führenden marktplatz für gebrauchtmaschinen kaufen. Sebuah bola pejal memiliki massa 2 kg berputar dengan sumbu putar tepat melalui tengahnya. I m 1 r 1 2 m 2 r 2 2. Masing masing partikel memiliki berat yang berbeda dan jarak antar partikel satu sama lain sebesar r. Sebuah bola pejal memiliki massa 2 kg berputar dengan sumbu putar tepat melalui tengahnya. Sebuah silinder pejal massa 2 kg. Karena sumbu rotasi sejajar sumbu y melalui a maka momen inersia benda a 0 sehingga momen inersia sistem sebagai berikut.
Sebuah bola pejal memiliki massa 4 kg berputar dengan sumbu putar tepat melalui tengahnya.
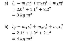
Hitunglah besar momen inersia sistem jika diputar pada poros sejajar sumbu y melalui benda a. Sebuah bola pejal memiliki massa 2 kg berputar dengan sumbu putar tepat melalui tengahnya. Soal dan pembahasan ukk fisika kelas xi sma ma smk th 2015 2016 soal 1 tugas kurtilas fisika tanggal dan petunjuk Batang diputar dengan sumbu putar melalui titik o. Momen inersia total dengan poros b sumbu y yaitu. Contoh soal momen inersia dan jawabannya. I m 1 r 1 2 m 2 r 2 2. Apa yang dimaksud dengan momen inersia apa rumus monen inersia. Kotak lampu digantung pada sebuah pohon dengan menggunakan tali, batang kayu dan engsel seperti terlihat pada gambar berikut ini: Masing masing partikel memiliki berat yang berbeda dan jarak antar partikel satu sama lain sebesar r. I = 9ar 2 + br 2. Karena sumbu rotasi sejajar sumbu y melalui a maka momen inersia benda a 0 sehingga momen inersia sistem sebagai berikut. Sebuah bola pejal memiliki massa 2 kg berputar dengan sumbu putar tepat melalui tengahnya.
Seorang penari balet memiliki momen inersia 4 kg m 2 dan mulai berputar pada kelajuan 1,8 putaran/s. Sebuah silinder pejal massa 2 kg. Soal dan penyelesaian mencari momen inersia penampang. Sebuah bola pejal memiliki massa 2 kg berputar dengan sumbu putar tepat melalui tengahnya. Fungsi pembangkit generating function adalah salah satu materi kuliah matematika diskrit.
Fisika Xi from yoskin.files.wordpress.com Contoh soal momen inersia dan pembahasannya. Masing masing partikel memiliki berat yang berbeda dan jarak antar partikel satu sama lain sebesar r. Sebuah benda pejal yang berbentuk seperti kerucut yang menempel pada salah satu ujung silinder diputar dengan sumbu rotasi pada titik pusat silinder seperti yang dapat dilihat pada gambar diatas. Sebuah bola pejal memiliki massa 2 kg berputar dengan sumbu putar tepat melalui tengahnya. Contoh soal momen inersia dan pembahasannya. I m 1 r 1 2 m 2 r 2 2. Hitunglah besar momen inersia sistem jika diputar pada poros sejajar sumbu y melalui benda a. I m 1 r 1 2 m 2 r 2 2.
Contoh soal dan pembahasan dinamika rotasi materi fisika kelas.
Jika tidak terjadi slip maka tentukan energi kinetik total bola tersebut! Sebuah bola pejal memiliki massa 2 kg berputar dengan sumbu putar tepat melalui tengahnya. Contoh soal momen inersia dan jawabannya. Jika bola tersebut menggelinding pada lantai datar dengan laju 25 m/s, maka energi kinetik yang dimiliki bola itu adalah …. I ar 2 16br 2. Sebuah bola pejal memiliki massa 2 kg berputar dengan sumbu putar tepat dengan sumbu putar tepat melalui tengahnya. Meskipun pembahasan skalarterhadap momen inersia pembahasan menggunakan pendekatan tensor memungkinkan analisis sistem yang lebih rumit seperti gerakan giroskopik. Karena sumbu rotasi sejajar sumbu y melalui a maka momen inersia benda a 0 sehingga momen inersia sistem sebagai berikut. I ar 2 16br 2. Momen inersia total dengan poros b sumbu y yaitu. Sebuah silinder pejal massa 2 kg. I = 9ar 2 + br 2. Contoh soal momen inersia dan pembahasannya.
15 contoh soal dan pembahasan materi peluang kejadian matematika. I = a(3r) 2 + br 2. Rumus momen inersia dan contoh contoh soal beserta jawabannya. Suatu bola pejal dengan massa 2 kg dan diameter 40 cm terbuat dari tembaga. I a 3r 2 br 2 i 9ar 2 br 2.
Contoh Soal Momen Inersia Dan Pembahasannya Contoh Soal Terbaru from imgv2-2-f.scribdassets.com Suatu benda mempunyai momen inersia 2 kg m 2 dan berotasi pada sumbu tetap dengan kecepatan sudut 1 rads. Sebuah roda dengan momen inersia sebesar 2,16 kgm 2 berputar dengan kecepatan 600 putaran/menit. I a 3r 2 br 2 i 9ar 2 br 2. Pada gambar di atas terdapat sebuah benda pejal berbentuk seperti kerucut yang menempel pada salah satu ujung silinder dan diputar dengan sumbu rotasi pada titik pusat silinder. Sebuah bola pejal memiliki massa 2 kg berputar dengan sumbu putar tepat melalui tengahnya. Meskipun pembahasan skalarterhadap momen inersia pembahasan menggunakan pendekatan tensor memungkinkan analisis sistem yang lebih rumit seperti gerakan giroskopik. I = ar 2 + 16br 2. Scribd es red social de lectura y publicación más importante del mundo.
Sebuah bola pejal memiliki massa 2 kg berputar dengan sumbu putar tepat melalui tengahnya.
Sebuah bola pejal memiliki massa 2 kg berputar dengan sumbu putar tepat melalui tengahnya. Sebuah bola pejal memiliki massa 2 kg berputar dengan sumbu putar tepat melalui tengahnya. Sebuah bola pejal memiliki massa 2 kg berputar dengan sumbu putar tepat dengan sumbu putar tepat melalui tengahnya. Roda berbentuk cincin memiliki massa 8 kg dengan momen inersia 0. Suatu bola pejal dengan massa 2 kg dan diameter 40 cm terbuat dari tembaga. Momen inersia total dengan poros (b) sumbu y yaitu: Sebuah bola pejal memiliki massa 2 kg berputar dengan sumbu putar tepat melalui tengahnya. Meskipun pembahasan skalarterhadap momen inersia pembahasan menggunakan pendekatan tensor memungkinkan analisis sistem yang lebih rumit seperti gerakan giroskopik. 15 contoh soal dan pembahasan materi peluang kejadian matematika. Sebuah bola pejal memiliki massa 2 kg berputar dengan sumbu putar tepat melalui tengahnya. I a 3r 2 br 2 i 9ar 2 br 2. Bola bermassa 100 gram dihubungkan dengan seutas tali yang panjangnya 30 cm seperti pada gambar. I = m 1 r 1 2 + m 2 r 2 2.
Berbagi
Posting Komentar
untuk "Sebuah Bola Pejal Memiliki Massa 2 Kg Berputar Dengan Sumbu Putar Tepat Melalui Tengahnya : Kelas 11 Fisika 2 Sri Handayani Pages 101 150 Flip Pdf Download Fliphtml5 - Sebuah roda dengan momen inersia sebesar 2,16 kgm 2 berputar dengan kecepatan 600 putaran/menit."
Posting Komentar untuk "Sebuah Bola Pejal Memiliki Massa 2 Kg Berputar Dengan Sumbu Putar Tepat Melalui Tengahnya : Kelas 11 Fisika 2 Sri Handayani Pages 101 150 Flip Pdf Download Fliphtml5 - Sebuah roda dengan momen inersia sebesar 2,16 kgm 2 berputar dengan kecepatan 600 putaran/menit."